本网讯 近日,我校物理与电子科学学院李海超博士在量子光学与量子相变领域连续取得重要进展,研究成果分别在物理学知名期刊Optics Letters和Advanced Quantum Technologies发表。其中,Optics Letters是美国光学学会旗下重要期刊之一,主要发表光学领域的高水平前沿学术成果,是国际光学界广泛认可的期刊;Advanced Quantum Technologies是Wiley出版社量子科技旗舰期刊,是享有极高学术声誉的Advanced家族,主要发表量子领域的高水平前沿学术成果。上述研究成果得到了国家自然科学基金和湖北省自然科学基金的资助,并获得光电转换材料与器件湖北省重点实验室和微纳光电子器件与集成湖北省工程研究中心等科研平台支持。
成果一:在光量子多体物理层面,超辐射相变不仅有助于光与物质的集体相互作用机制的理解,而且在量子计算、量子传感和量子精密测量中有着重要的应用。因此,探索新奇的超辐射相变行为在量子物理和量子信息技术中具有基础的重要性。通过构造一个可调控的V-型Dicke模型,论文作者发现了一个伴随全局对称破缺的新奇超辐射相变,并揭示该新型超辐射相变在机制上源于两个局域超辐射相变的平衡竞争。该研究成果以“Exploring global symmetry-breaking superradiant phase via phase competition”为题发表在Optics Letters上,李海超博士为论文第一作者,湖北师范大学为第一单位。

论文链接:https://opg.optica.org/ol/abstract.cfm?uri=ol-49-8-2137
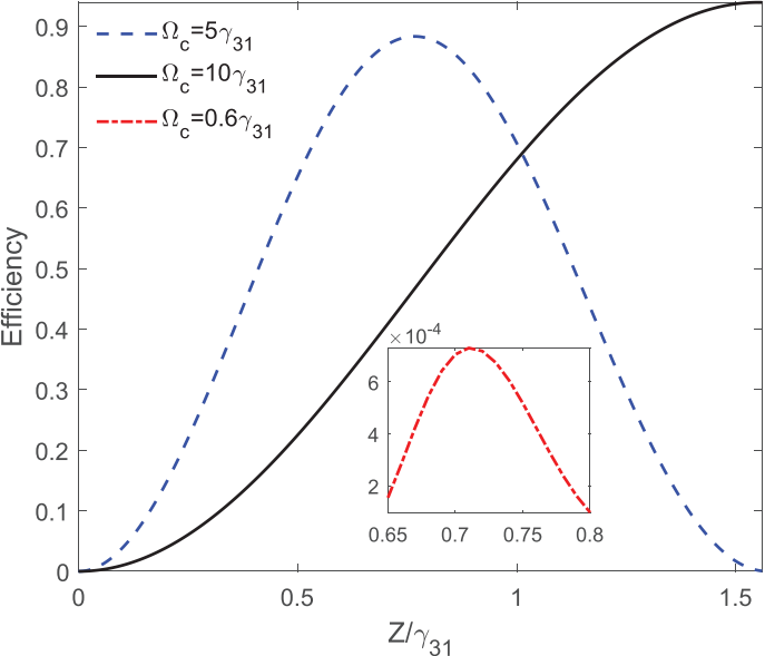
成果二:非线性频率转换技术是产生和操控光波的一个重要方法之一。但是,频率转换的难点在于其效率一般较低,这极大制约了相关应用的发展。针对这一问题,论文作者借助于固态可调控超导电路体系实现了高效二阶非线性三波混频过程。通过发展Autler-Townes-splitting的双透明机制,实现了三波混频效率的巨提高,其效率超过了90%,这比通常的电磁感应透明机制辅助的非线性转换效率提高了4个数量级。该研究成果以“Difference-frequency generation with and without quantum interference in superconducting circuits”为题发表在Advanced Quantum Technologies上,我校2021级研究生梁妙翔为论文第一作者,李海超博士为论文通讯作者,湖北师范大学为第一单位。
论文链接:https://onlinelibrary.wiley.com/doi/full/10.1002/qute.202300300


成果三:近年来,非互易量子器件在量子信息处理和量子网络中得到了广泛关注。特别是,腔磁量子系统是当前实现非互易物理特性的重要研究平台之一。基于一个双球腔磁系统,利用方向依赖的磁子克尔效应,论文作者实现了非互易非常规光子阻塞现象,这为探索多球腔磁系统的非互易器件奠定了基础。该研究成果以“Nonreciprocal unconventional photon blockade with Kerr magnons”为题发表在Advanced Quantum Technologies上,论文由李海超博士与合作者共同完成,李海超博士为论文第一通讯作者,湖北师范大学为第一通讯单位。
论文链接:https://onlinelibrary.wiley.com/doi/10.1002/qute.202400043
作者简介:李海超,男,理学博士,副教授,硕士研究生导师。主要从事量子光学与非线性光学的研究工作。主持2项国家自然科学基金、1项湖北省自然科学基金、1项湖北师范大学教学改革重点项目,以第一或通讯作者在光学类国际知名期刊Physical Review A、Optics Letters、Optics Express、Advanced Quantum Technologies等上发表论文20余篇,曾取得世界知名高校Texas A&M University的博士后职位。
